40 Makalah Barisan Dan Deret Aritmatika Dan Geometri Terbaru

Makalah barisan dan deret aritmatika dan geometri disusun untuk memenuhi salah satu tugas mata kuliah konsep dasar matematika ii semester 1 tahun 2014 2015 dosen pengampu.
Makalah barisan dan deret aritmatika dan geometri. 1 2 3 4. Fakultas keguruan dan ilmu pendidikan universitas sriwijaya 2012 2013. Perbedaan barisan dan deret aritmatika dan geometri barisan adalah himpunan yang anggotanya merupakan hasil pemetaan dari bilangan asli.
Berikut ini pejelasan lengkap tentang barisan dan deret mulai dari barisan aritmatika dan geometri deret aritmatika dan geometri deret tak hingga suku tengah sisipan disertai rumus lengkap contoh soal dan pembahasan. Makalah barisan dan deret bilangan. Tugas telaah matematika ii barisan dan deretdisusun oleh.
Wahyudi s pd m pd dan yohana setiawan s pd disusun oleh. Suatu barisan geometri dengan suku pertama a dan rasio r adalah a ar ar 2 ar 3 dan seterusnya dengan memperhatikan pola keberaturan empat suku pertamanya. Suku tengahnya ditentukan oleh hubungan.
Makalah barisan dan deret 1. Suatu barisan disebut barisan aritmatika jika untuk sebarang nilai n berlaku hubungan. Rumus co id pada kesempatan kali ini kita akan membahas tentang rumus deret aritmatika dan pada pembahasan sebelumnya kita telah membahas soal rumus geometri rumus aritmatika atau bisa di sebut juga dengan barisan aritmatika di bagi menjadi beberapa macam yang pertama adalah rumus aritmatika bertingkat sosial sn tingkat 2 aritmatika suku ke n.
D engan b adalah suatu tetapan konstanta yang tidak bergantung pada n. Aditin putria 06111008028 agatha indy candra dewi 06111008037 meta apriani 06111008030 dosen pengasuh. Harga yang tetap ini dinamakan rasio.
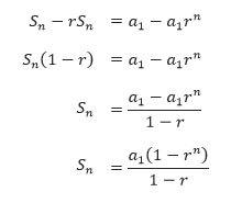
Di antara dua bilangan dan disisipkan sebanyak buah bilangan sehingga bilangan bilangan semula dengan bilangan bilangan. Barisan geometri adalah suatu barisan yang mempunyai pola keberaturan hasil bagi dua suku berturutan tetap harganya. Barisan dan deret adalah jenis barisan dan juga deret bilangan yang dimana bilangan yang berikutnya merupakan penambahan bilangan dari yang sebelumnya dengan bilangan yang berbeda contohnya 3 5 7 9 11 13.